В аналізаторах фірми MRU за допомогою вмонтованого мікропроцесора провадиться неперервний аналіз результатів вимірювань та проводять додаткові обчислення параметрів горіння палива.
CO2, лямбда, втрати, ККД, точка роси
Загальні пояснення
| O2 max | 21,0 % - вміст кисню у повітрі прийнятий в Німеччині |
| O2 max | 20,9 % - вміст кисню у повітрі прийнятий в інших країнах |
| O2 | виміряне значення кисню в процентах |
| O2bez | відносне значення O2 в процентах (залежить від палива) |
| CO2max | |
| V AG min, tr | об’єм димових газів сухих і без кисню (залежить від палива) |
| H n, u | нормована теплота згорання палива (залежить від палива) |


Verluste – втрати
TAbgas – Тгазів
TLuft – Тповітря
(Teмпература в °C, A1 та B коефіцієнти палива)
ККД = Втрати - 100%
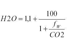
Точка роси (згідно DIN 4705, частина 1, сторінка 17)
де
та
tP : температура точки роси в °C H2O : вміст пари води в %
pD : парціальний тиск пари fW : вміст вологи в паливі
pL : зовнішній тиск повітря CO2 : вміст диоксиду вуглецю в %
При нормальному тиску (1013 mbar) точка роси обчислюється так:
CO-перерахунки з CO [ppm]
1. СО- нерозбавлене
2. CO відносне до залишку кисню
3. СО мг/м3
4. CO мг/м3 відносне до залишку кисню
5. СО мг/кВт/год
6. СО мг/МДж
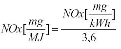
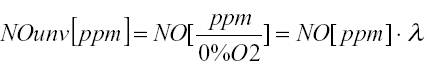
NO-перерахунки з NO [ppm]
1. NО-нерозбавлене
2. NO відносне до залишку кисню
3. NО мг/м3
4. CO мг/м3 відносне до залишку кисню
5. NО мг/кВт/год
6. NО мг/МДж
7. NО для 14% CO2
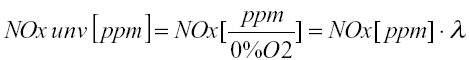
NOx-перерахунки з NO [ppm] (відповідно і з NO2[ppm])
1. якщо нема сенсора NO2
2. якщо є сенсор NO2
3. NOx - нерозбавлене
4. відносне до залишку кисню
Якщо NOx дано в мг, необхідно врахувати, що все NO в атмосфері приводиться до NO2/ Коефіцієнт перерахунку ppm -> mg є коефіцієнтом для NO2
Типи палива та їх параметри, прийняті в Німеччині
Fmg=>kWh = VAG min, tr / Hu, n